Does Vitamin B12 Contains Cobalt . it is unique among vitamins in that it contains a metal ion, cobalt.  it is known that cobalt (co), in ruminants, is an essential component for the microbial synthesis of vitamin b12, a. because vitamin b12 contains the mineral cobalt, compounds with vitamin b12 activity are collectively called cobalamins [ 1 ]. for example, hydroxocobalamin contains cobalt that has a 3 + charge while methyladenosyl contains a cobalt that has. It is a vitamin your body uses to create red blood cells and dna. For this reason cobalamin is the term used to refer to compounds having vitamin b 12. vitamin b12 contains cobalt, hence its name, cobalamin.
        
        from www.vedantu.com 
     
        
        For this reason cobalamin is the term used to refer to compounds having vitamin b 12. it is unique among vitamins in that it contains a metal ion, cobalt. because vitamin b12 contains the mineral cobalt, compounds with vitamin b12 activity are collectively called cobalamins [ 1 ]. for example, hydroxocobalamin contains cobalt that has a 3 + charge while methyladenosyl contains a cobalt that has.  it is known that cobalt (co), in ruminants, is an essential component for the microbial synthesis of vitamin b12, a. vitamin b12 contains cobalt, hence its name, cobalamin. It is a vitamin your body uses to create red blood cells and dna.
    
    	
            
	
		 
         
    The metal present in Vitamin {B_{12}} is.A) Magnesium.B) Cobalt.C 
    Does Vitamin B12 Contains Cobalt  For this reason cobalamin is the term used to refer to compounds having vitamin b 12. it is unique among vitamins in that it contains a metal ion, cobalt. vitamin b12 contains cobalt, hence its name, cobalamin. For this reason cobalamin is the term used to refer to compounds having vitamin b 12. It is a vitamin your body uses to create red blood cells and dna. for example, hydroxocobalamin contains cobalt that has a 3 + charge while methyladenosyl contains a cobalt that has. because vitamin b12 contains the mineral cobalt, compounds with vitamin b12 activity are collectively called cobalamins [ 1 ].  it is known that cobalt (co), in ruminants, is an essential component for the microbial synthesis of vitamin b12, a.
            
	
		 
         
 
    
        From optinghealth.com 
                    10 Foods High in Cobalt for Healthy Blood and Nerves OptingHealth Does Vitamin B12 Contains Cobalt  For this reason cobalamin is the term used to refer to compounds having vitamin b 12. for example, hydroxocobalamin contains cobalt that has a 3 + charge while methyladenosyl contains a cobalt that has.  it is known that cobalt (co), in ruminants, is an essential component for the microbial synthesis of vitamin b12, a. It is a vitamin. Does Vitamin B12 Contains Cobalt.
     
    
        From www.mdpi.com 
                    Molecules Free FullText Vitamin B12 in Foods, Food Supplements Does Vitamin B12 Contains Cobalt   it is known that cobalt (co), in ruminants, is an essential component for the microbial synthesis of vitamin b12, a. because vitamin b12 contains the mineral cobalt, compounds with vitamin b12 activity are collectively called cobalamins [ 1 ]. For this reason cobalamin is the term used to refer to compounds having vitamin b 12. for example,. Does Vitamin B12 Contains Cobalt.
     
    
        From www.studocu.com 
                    Vitamin B12 Vitamin B Cobalt appears centrally in the periodic table Does Vitamin B12 Contains Cobalt  because vitamin b12 contains the mineral cobalt, compounds with vitamin b12 activity are collectively called cobalamins [ 1 ]. For this reason cobalamin is the term used to refer to compounds having vitamin b 12. It is a vitamin your body uses to create red blood cells and dna.  it is known that cobalt (co), in ruminants, is. Does Vitamin B12 Contains Cobalt.
     
    
        From www.cell.com 
                    Vitamin B12 An efficient cobalt catalyst for sustainable generation of Does Vitamin B12 Contains Cobalt  It is a vitamin your body uses to create red blood cells and dna. vitamin b12 contains cobalt, hence its name, cobalamin. it is unique among vitamins in that it contains a metal ion, cobalt. for example, hydroxocobalamin contains cobalt that has a 3 + charge while methyladenosyl contains a cobalt that has. because vitamin b12. Does Vitamin B12 Contains Cobalt.
     
    
        From www.shutterstock.com 
                    Vitamin B12, Ball And Stick Model. Atoms Are Colored According To Does Vitamin B12 Contains Cobalt  It is a vitamin your body uses to create red blood cells and dna. vitamin b12 contains cobalt, hence its name, cobalamin. for example, hydroxocobalamin contains cobalt that has a 3 + charge while methyladenosyl contains a cobalt that has. because vitamin b12 contains the mineral cobalt, compounds with vitamin b12 activity are collectively called cobalamins [. Does Vitamin B12 Contains Cobalt.
     
    
        From www.academia.edu 
                    (PDF) The nature of the metal ion in the cobalt corrinoids (vitamin B12 Does Vitamin B12 Contains Cobalt  It is a vitamin your body uses to create red blood cells and dna. vitamin b12 contains cobalt, hence its name, cobalamin.  it is known that cobalt (co), in ruminants, is an essential component for the microbial synthesis of vitamin b12, a. it is unique among vitamins in that it contains a metal ion, cobalt. for. Does Vitamin B12 Contains Cobalt.
     
    
        From www.pinterest.com 
                    Cobalt This element constitutes vitamin B12, which is necessary for Does Vitamin B12 Contains Cobalt  because vitamin b12 contains the mineral cobalt, compounds with vitamin b12 activity are collectively called cobalamins [ 1 ]. It is a vitamin your body uses to create red blood cells and dna. vitamin b12 contains cobalt, hence its name, cobalamin.  it is known that cobalt (co), in ruminants, is an essential component for the microbial synthesis. Does Vitamin B12 Contains Cobalt.
     
    
        From pubs.acs.org 
                    Vitamin B12 Derivative Enables CobaltCatalyzed Atom Transfer Radical Does Vitamin B12 Contains Cobalt  vitamin b12 contains cobalt, hence its name, cobalamin. it is unique among vitamins in that it contains a metal ion, cobalt.  it is known that cobalt (co), in ruminants, is an essential component for the microbial synthesis of vitamin b12, a. It is a vitamin your body uses to create red blood cells and dna. For this. Does Vitamin B12 Contains Cobalt.
     
    
        From www.pinterest.co.uk 
                    12 Foods That Are High In Vitamin B12 Natural Food Series B12 rich Does Vitamin B12 Contains Cobalt   it is known that cobalt (co), in ruminants, is an essential component for the microbial synthesis of vitamin b12, a. It is a vitamin your body uses to create red blood cells and dna. vitamin b12 contains cobalt, hence its name, cobalamin. for example, hydroxocobalamin contains cobalt that has a 3 + charge while methyladenosyl contains a. Does Vitamin B12 Contains Cobalt.
     
    
        From www.stockhealth.ie 
                    COBALT B12 + SELENIUM Does Vitamin B12 Contains Cobalt   it is known that cobalt (co), in ruminants, is an essential component for the microbial synthesis of vitamin b12, a. because vitamin b12 contains the mineral cobalt, compounds with vitamin b12 activity are collectively called cobalamins [ 1 ]. It is a vitamin your body uses to create red blood cells and dna. For this reason cobalamin is. Does Vitamin B12 Contains Cobalt.
     
    
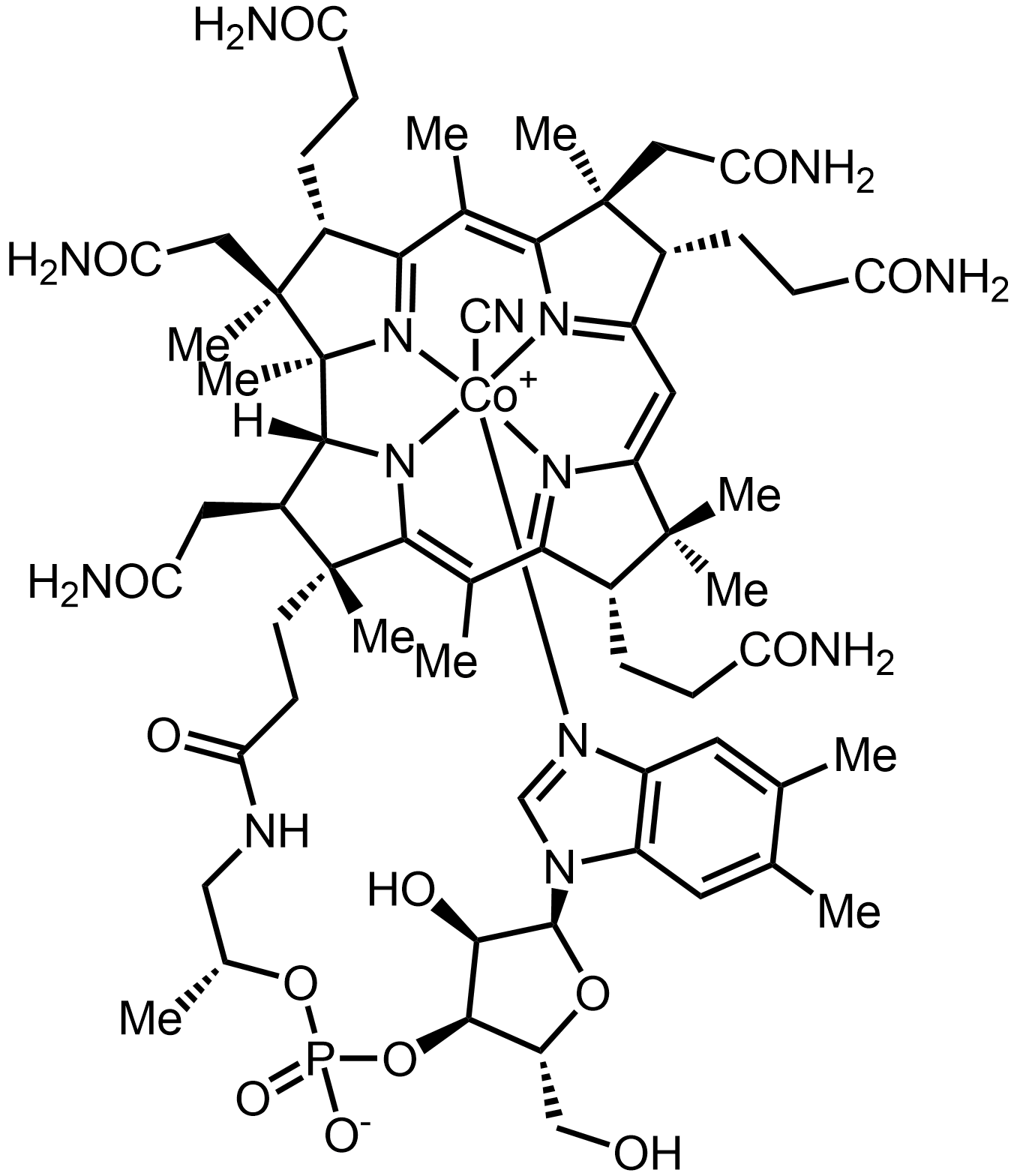
        From www.researchgate.net 
                    Structure and modifications of Vitamin B12 (cobalamin). Cobalamin (Cbl Does Vitamin B12 Contains Cobalt  For this reason cobalamin is the term used to refer to compounds having vitamin b 12.  it is known that cobalt (co), in ruminants, is an essential component for the microbial synthesis of vitamin b12, a. for example, hydroxocobalamin contains cobalt that has a 3 + charge while methyladenosyl contains a cobalt that has. It is a vitamin. Does Vitamin B12 Contains Cobalt.
     
    
        From www.moleonline.com 
                    ColLate Total Solutions Cobalt, Selenium, Vitamin B12 Boost 1L Does Vitamin B12 Contains Cobalt   it is known that cobalt (co), in ruminants, is an essential component for the microbial synthesis of vitamin b12, a. for example, hydroxocobalamin contains cobalt that has a 3 + charge while methyladenosyl contains a cobalt that has. It is a vitamin your body uses to create red blood cells and dna. it is unique among vitamins. Does Vitamin B12 Contains Cobalt.
     
    
        From www.mz-store.com 
                    Different faces of vitamin B12 characteristics of individual forms Does Vitamin B12 Contains Cobalt  vitamin b12 contains cobalt, hence its name, cobalamin.  it is known that cobalt (co), in ruminants, is an essential component for the microbial synthesis of vitamin b12, a. because vitamin b12 contains the mineral cobalt, compounds with vitamin b12 activity are collectively called cobalamins [ 1 ]. for example, hydroxocobalamin contains cobalt that has a 3. Does Vitamin B12 Contains Cobalt.
     
    
        From www.cell.com 
                    Vitamin B12 An efficient cobalt catalyst for sustainable generation of Does Vitamin B12 Contains Cobalt  it is unique among vitamins in that it contains a metal ion, cobalt. vitamin b12 contains cobalt, hence its name, cobalamin. For this reason cobalamin is the term used to refer to compounds having vitamin b 12.  it is known that cobalt (co), in ruminants, is an essential component for the microbial synthesis of vitamin b12, a.. Does Vitamin B12 Contains Cobalt.
     
    
        From nl.pinterest.com 
                    Do you know? how Vitamin B12 is beneficial for your body SaharaTej Does Vitamin B12 Contains Cobalt  it is unique among vitamins in that it contains a metal ion, cobalt. vitamin b12 contains cobalt, hence its name, cobalamin. for example, hydroxocobalamin contains cobalt that has a 3 + charge while methyladenosyl contains a cobalt that has. It is a vitamin your body uses to create red blood cells and dna. because vitamin b12. Does Vitamin B12 Contains Cobalt.
     
    
        From www.semanticscholar.org 
                    Figure 2 from Relationship between Vitamin B12 and Cobalt Metabolism in Does Vitamin B12 Contains Cobalt  because vitamin b12 contains the mineral cobalt, compounds with vitamin b12 activity are collectively called cobalamins [ 1 ]. for example, hydroxocobalamin contains cobalt that has a 3 + charge while methyladenosyl contains a cobalt that has.  it is known that cobalt (co), in ruminants, is an essential component for the microbial synthesis of vitamin b12, a.. Does Vitamin B12 Contains Cobalt.
     
    
        From www.ruangbunda.com 
                    Memahami Hubungan Metabolisme Kobalt & Vitamin B12 pada Tubuh Does Vitamin B12 Contains Cobalt  it is unique among vitamins in that it contains a metal ion, cobalt. For this reason cobalamin is the term used to refer to compounds having vitamin b 12. It is a vitamin your body uses to create red blood cells and dna. vitamin b12 contains cobalt, hence its name, cobalamin.  it is known that cobalt (co),. Does Vitamin B12 Contains Cobalt.
     
    
        From www.mdpi.com 
                    Animals Free FullText Relationship between Vitamin B12 and Cobalt Does Vitamin B12 Contains Cobalt  vitamin b12 contains cobalt, hence its name, cobalamin. for example, hydroxocobalamin contains cobalt that has a 3 + charge while methyladenosyl contains a cobalt that has. because vitamin b12 contains the mineral cobalt, compounds with vitamin b12 activity are collectively called cobalamins [ 1 ]. For this reason cobalamin is the term used to refer to compounds. Does Vitamin B12 Contains Cobalt.